QUESTION IMAGE
Question
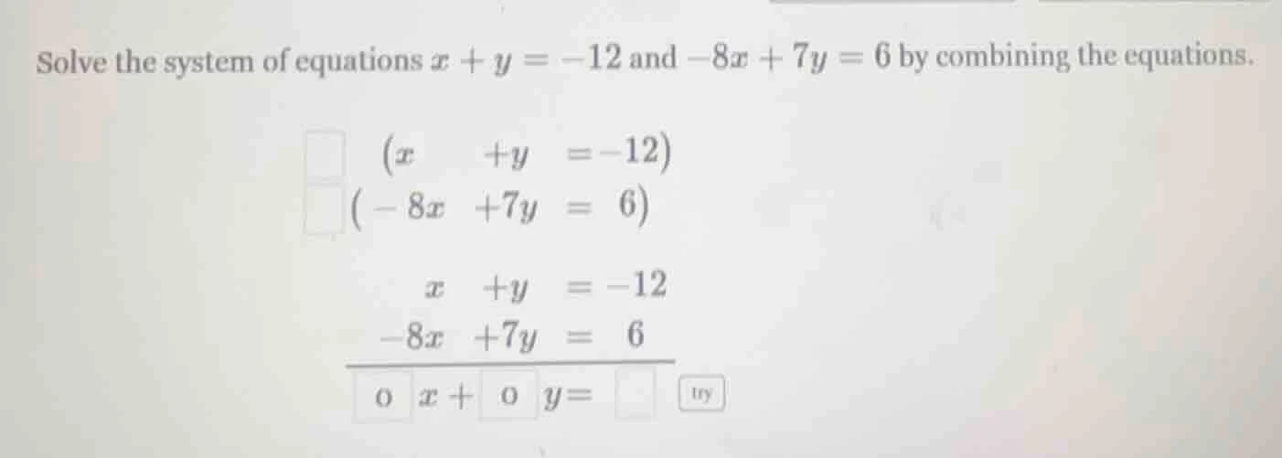
solve the system of equations $x + y = -12$ and $-8x + 7y = 6$ by combining the equations.
$\square \
$
$\
$ try
Step1: Eliminate $x$ variable
Multiply first equation by 8:
$8(x + y) = 8(-12) \implies 8x + 8y = -96$
Step2: Add to second equation
Add new equation to $-8x + 7y = 6$:
$$(8x + 8y) + (-8x + 7y) = -96 + 6$$
Step3: Simplify to solve for $y$
Combine like terms:
$15y = -90 \implies y = \frac{-90}{15} = -6$
Step4: Substitute $y$ to find $x$
Plug $y=-6$ into $x + y = -12$:
$x + (-6) = -12 \implies x = -12 + 6 = -6$
Snap & solve any problem in the app
Get step-by-step solutions on Sovi AI
Photo-based solutions with guided steps
Explore more problems and detailed explanations
$x=-6$, $y=-6$
To fill the given blanks for combining equations:
Multiply the first equation by 8, so the top blank is 8, bottom blank is 1.
Adding gives: $0x + 15y = -90$