Sovi.AI - AI Math Tutor

Scan to solve math questions

QUESTION IMAGE

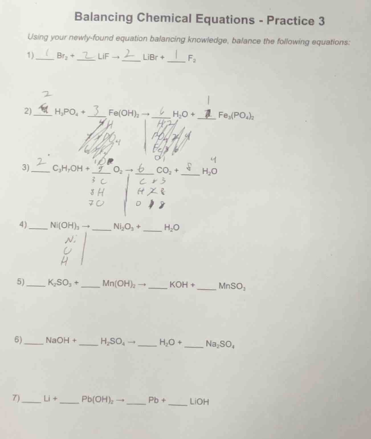
balancing chemical equations - practice 3 using your newly-found equati…

Question

balancing chemical equations - practice 3
using your newly-found equation balancing knowledge, balance the following equations:

  1. _ br₂ + _ lif → _ libr + _ f₂
  1. _ h₃po₄ + _ fe(oh)₂ → _ h₂o + _ fe₃(po₄)₂
  1. _ c₃h₇oh + _ o₂ → _ co₂ + _ h₂o
  1. _ ni(oh)₃ → _ ni₂o₃ + ___ h₂o
  1. _ k₂so₃ + _ mn(oh)₂ → _ koh + _ mnso₃
  1. _ naoh + _ h₂so₄ → _ h₂o + _ na₂so₄
  1. _ li + _ pb(oh)₂ → _ pb + _ lioh

Explanation:

Response
Problem 1:

Step1: Balance Br and F atoms.

On left: Br₂ (2 Br), LiF (1 F). On right: LiBr (1 Br), F₂ (2 F).
To balance Br: need 2 LiBr (2 Br). To balance F: need 2 LiF (2 F) (since F₂ has 2 F, LiF must have 2 F to balance). Then Br₂ is 1 (2 Br in 2 LiBr matches Br₂).

Step2: Verify all atoms.

Br: 2 (Br₂) = 2 (LiBr). Li: 2 (LiF) = 2 (LiBr). F: 2 (LiF) = 2 (F₂).

Step1: Balance PO₄³⁻ and Fe.

Right: Fe₃(PO₄)₂ has 2 PO₄³⁻ and 3 Fe. So left: H₃PO₄ needs 2 (2 PO₄³⁻), Fe(OH)₂ needs 3 (3 Fe).

Step2: Balance H and O.

Left H: 2×3 (H₃PO₄) + 3×2 (Fe(OH)₂) = 6 + 6 = 12. Right H₂O: 12/2 = 6.
Left O: 2×4 (H₃PO₄) + 3×2 (Fe(OH)₂) = 8 + 6 = 14. Right O: 6 (H₂O) + 2×4 (Fe₃(PO₄)₂) = 6 + 8 = 14.

Step1: Balance C and H.

C₃H₇OH has 3 C, 8 H. So CO₂ needs 3×2=6? Wait, C₃H₇OH: 3 C, 8 H (7 from C₃H₇ + 1 from OH), 2 O.
Let’s set C₃H₇OH coefficient as 2 (to make H even: 16 H). Then CO₂: 6 (3×2 C), H₂O: 8 (16 H / 2).

Step2: Balance O.

Left O: 2×2 (C₃H₇OH) + O₂×x. Right O: 6×2 (CO₂) + 8×1 (H₂O) = 12 + 8 = 20. Left O: 4 + 2x = 20 → 2x=16 → x=9.

Answer:

1, 2, 2, 1

Problem 2: