Sovi.AI - AI Math Tutor

Scan to solve math questions

QUESTION IMAGE

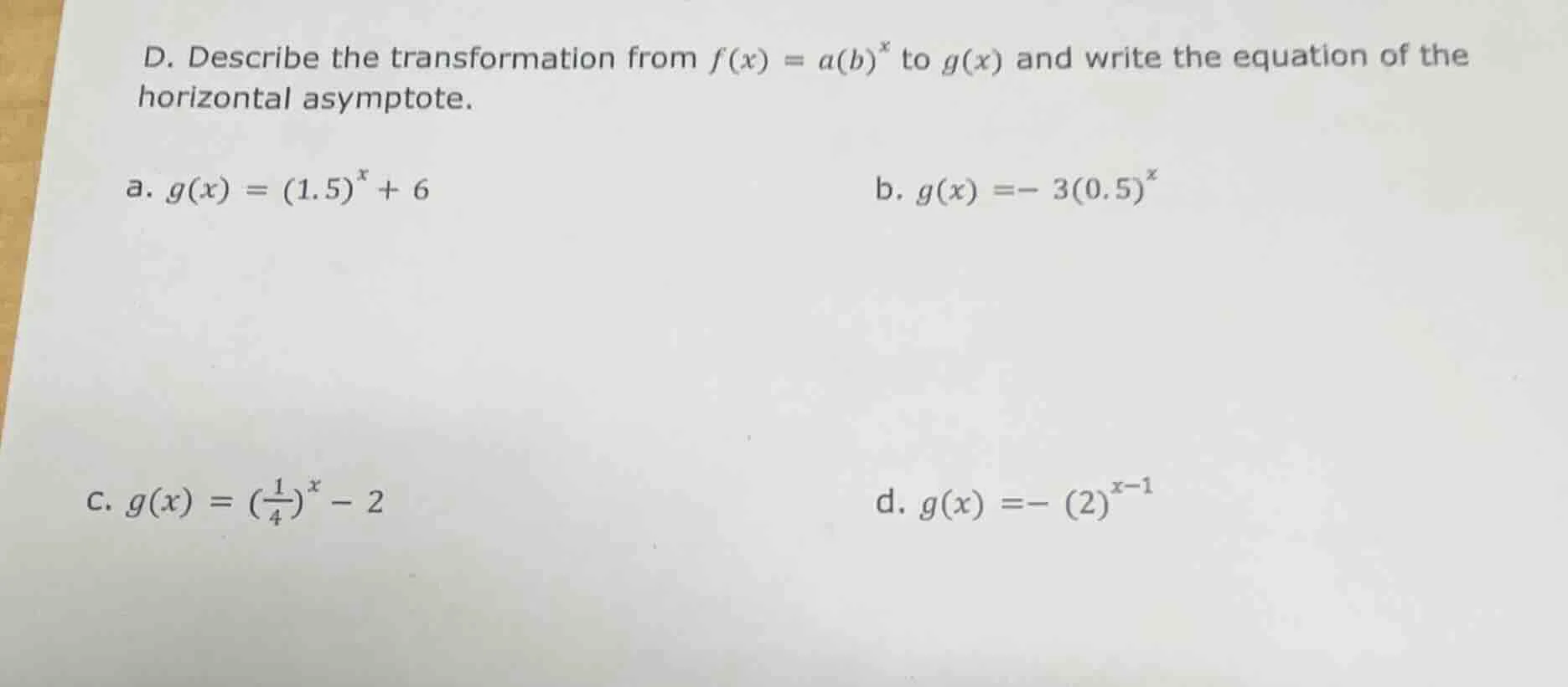
d. describe the transformation from $f(x) = a(b)^x$ to $g(x)$ and write…

Question

d. describe the transformation from $f(x) = a(b)^x$ to $g(x)$ and write the equation of the horizontal asymptote.
a. $g(x) = (1.5)^x + 6$ b. $g(x) = - 3(0.5)^x$
c. $g(x) = \left(\frac{1}{4}\
ight)^x - 2$ d. $g(x) = - (2)^{x - 1}$

Explanation:

Step1: Analyze part (a) transformation

Compare $g(x)=(1.5)^x+6$ to $f(x)=a(b)^x$ (here $a=1, b=1.5$). Shift $f(x)$ up 6 units.
Horizontal asymptote of $f(x)=a(b)^x$ is $y=0$; shifting up 6 gives $y=6$.

Step2: Analyze part (b) transformation

Compare $g(x)=-3(0.5)^x$ to $f(x)=a(b)^x$ (here $a=1, b=0.5$). Reflect $f(x)$ over x-axis, stretch vertically by 3.
Horizontal asymptote remains $y=0$ (reflection/stretching don't shift asymptote).

Step3: Analyze part (c) transformation

Compare $g(x)=(\frac{1}{4})^x-2$ to $f(x)=a(b)^x$ (here $a=1, b=\frac{1}{4}$). Shift $f(x)$ down 2 units.
Horizontal asymptote shifts down 2 from $y=0$ to $y=-2$.

Step4: Analyze part (d) transformation

Rewrite $g(x)=-(2)^{x-1}$ as $g(x)=-1\cdot(2)^{x-1}$. Compare to $f(x)=a(b)^x$ (here $a=1, b=2$). Shift $f(x)$ right 1 unit, reflect over x-axis.
Horizontal asymptote remains $y=0$ (shift/reflection don't shift asymptote).

Answer:

a. Transformation: Vertical shift up 6 units. Horizontal asymptote: $y=6$
b. Transformation: Reflection over x-axis, vertical stretch by 3. Horizontal asymptote: $y=0$
c. Transformation: Vertical shift down 2 units. Horizontal asymptote: $y=-2$
d. Transformation: Horizontal shift right 1 unit, reflection over x-axis. Horizontal asymptote: $y=0$