Sovi.AI - AI Math Tutor

Scan to solve math questions

QUESTION IMAGE

try these on your own. 1. $(4^{2})^{-1} =$ 2. $(3^{3})^{-2} =$ 3. $sqrt…

Question

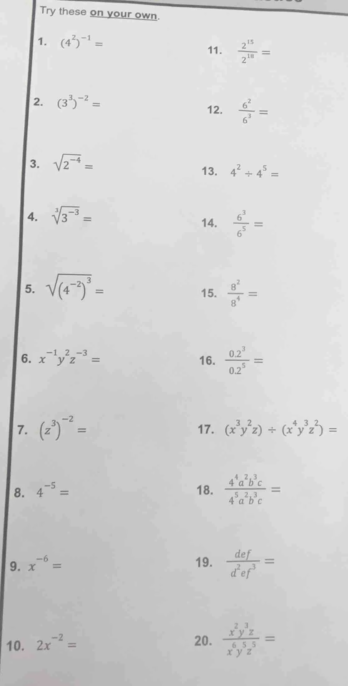
try these on your own.

  1. $(4^{2})^{-1} =$
  2. $(3^{3})^{-2} =$
  3. $sqrt{2^{-4}} =$
  4. $sqrt3{3^{-3}} =$
  5. $sqrt{(4^{-2})^{3}} =$
  6. $x^{-1}y^{2}z^{-3} =$
  7. $(z^{3})^{-2} =$
  8. $4^{-5} =$
  9. $x^{-6} =$
  10. $2x^{-2} =$
  11. $\frac{2^{15}}{2^{18}} =$
  12. $\frac{6^{2}}{6^{3}} =$
  13. $4^{2} \div 4^{5} =$
  14. $\frac{6^{3}}{6^{5}} =$
  15. $\frac{8^{2}}{8^{4}} =$
  16. $\frac{0.2^{3}}{0.2^{5}} =$
  17. $(x^{3}y^{2}z) \div (x^{4}y^{3}z^{2}) =$
  18. $\frac{4^{4}a^{2}b^{3}c}{4^{5}a^{2}b^{3}c} =$
  19. $\frac{def}{d^{2}ef^{3}} =$
  20. $\frac{x^{2}y^{3}z}{x^{6}y^{5}z^{5}} =$

Explanation:

Step1: Apply exponent rule $(a^m)^n=a^{mn}$

  1. $(4^2)^{-1}=4^{2\times(-1)}=4^{-2}=\frac{1}{4^2}=\frac{1}{16}$
  2. $(3^3)^{-2}=3^{3\times(-2)}=3^{-6}=\frac{1}{3^6}=\frac{1}{729}$
  3. $(z^3)^{-2}=z^{3\times(-2)}=z^{-6}=\frac{1}{z^6}$

Step2: Convert roots to exponents $\sqrt[n]{a}=a^{\frac{1}{n}}$

  1. $\sqrt{2^{-4}}=(2^{-4})^{\frac{1}{2}}=2^{-4\times\frac{1}{2}}=2^{-2}=\frac{1}{4}$
  2. $\sqrt[3]{3^{-3}}=(3^{-3})^{\frac{1}{3}}=3^{-3\times\frac{1}{3}}=3^{-1}=\frac{1}{3}$
  3. $\sqrt{(4^{-2})^3}=((4^{-2})^3)^{\frac{1}{2}}=4^{-2\times3\times\frac{1}{2}}=4^{-3}=\frac{1}{64}$

Step3: Rewrite negative exponents $a^{-n}=\frac{1}{a^n}$

  1. $x^{-1}y^2z^{-3}=\frac{y^2}{x z^3}$
  2. $4^{-5}=\frac{1}{4^5}=\frac{1}{1024}$
  3. $x^{-6}=\frac{1}{x^6}$
  4. $2x^{-2}=\frac{2}{x^2}$

Step4: Apply quotient rule $\frac{a^m}{a^n}=a^{m-n}$

  1. $\frac{2^{15}}{2^{18}}=2^{15-18}=2^{-3}=\frac{1}{8}$
  2. $\frac{6^2}{6^3}=6^{2-3}=6^{-1}=\frac{1}{6}$
  3. $4^2\div4^5=4^{2-5}=4^{-3}=\frac{1}{64}$
  4. $\frac{6^3}{6^5}=6^{3-5}=6^{-2}=\frac{1}{36}$
  5. $\frac{8^2}{8^4}=8^{2-4}=8^{-2}=\frac{1}{64}$
  6. $\frac{0.2^3}{0.2^5}=0.2^{3-5}=0.2^{-2}=\frac{1}{0.2^2}=25$

Step5: Apply quotient rule to variables

  1. $(x^3y^2z)\div(x^4y^3z^2)=x^{3-4}y^{2-3}z^{1-2}=x^{-1}y^{-1}z^{-1}=\frac{1}{xyz}$
  2. $\frac{4^4a^2b^3c}{4^5a^2b^3c}=4^{4-5}a^{2-2}b^{3-3}c^{1-1}=4^{-1}=\frac{1}{4}$
  3. $\frac{def}{d^2e^3f^3}=d^{1-2}e^{1-3}f^{1-3}=d^{-1}e^{-2}f^{-2}=\frac{1}{d e^2 f^2}$
  4. $\frac{x^2y^3z}{x^6y^5z^5}=x^{2-6}y^{3-5}z^{1-5}=x^{-4}y^{-2}z^{-4}=\frac{1}{x^4 y^2 z^4}$

Answer:

  1. $\frac{1}{16}$
  2. $\frac{1}{729}$
  3. $\frac{1}{4}$
  4. $\frac{1}{3}$
  5. $\frac{1}{64}$
  6. $\frac{y^2}{xz^3}$
  7. $\frac{1}{z^6}$
  8. $\frac{1}{1024}$
  9. $\frac{1}{x^6}$
  10. $\frac{2}{x^2}$
  11. $\frac{1}{8}$
  12. $\frac{1}{6}$
  13. $\frac{1}{64}$
  14. $\frac{1}{36}$
  15. $\frac{1}{64}$
  16. 25
  17. $\frac{1}{xyz}$
  18. $\frac{1}{4}$
  19. $\frac{1}{d e^2 f^2}$
  20. $\frac{1}{x^4 y^2 z^4}$